44444免费观看高清电视剧直播_z〇zoz〇女人另类zoz〇_色卡网站免费大全_19岁在线观看免费高清完整版韩剧

歡迎光臨南京試劑! 登錄| 注冊|
證券簡稱:南京試劑    證券代碼:833179
南京試劑-化學試劑,實驗試劑,分析試劑,試劑網
首頁 > 產品 > 試劑 > 分析試劑 > C08515105
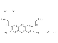
中文名稱堿性品紅 描述 堿性品紅,IND
英文名稱Fuchsin basic 品牌南試
別名:玫瑰色素;4-胺-3-甲苯雙(4-胺苯)甲醇
CAS編號: 632-99-5
分子式:C20H20ClN3
分子量:337.8
MDL編號:MFCD00012569
商品編號 規格 銷售價格 折扣價格 可用庫存 單位 購買數量
C0851510543 IND, 25g ¥ 49.4 ¥ 49.4 點擊訂購

大包裝詢價
    • 產品介紹: 溶于冷水或熱水呈紅紫色,極易溶于酒精呈紅色;遇濃硫酸呈黃棕色,稀釋后幾乎無色;水溶液加氫氧化鈉液呈帶有紅色沉淀的幾乎無色的液體。
    • 用途: 用于配制席夫試劑檢測醛類,用于萃取光度法測定某些酸根離子及金屬離子。也用于光度法檢測溴,亞硝酸鹽和二氧化硫。用作極譜分析中的極大抑制劑。還用作生化分析的核染料,為最強的核染料,能使粘朊、彈性組織及嗜品紅的顆粒染色,中樞神經的核染色,細菌學中用以鑒別結核桿菌,分析化學中配制席夫試劑檢驗醛類。用溴酸鹽滴定的氧化還原指示劑。
    • 可溶性: 于冷水或熱水呈紅紫色,極易溶于酒精呈紅色
    • 貯存: 密封保存
  • MSDS下載
    暫無數據
    安全信息
    符號: GHS08
    信號詞: Warning
    危險聲明: H351
    警示性聲明: P281,P201,P202,P308+P313,P405,P501
    危害碼: Xn
    安全聲明: R40
    UN代碼: S36/37
  • 技術指標:

    • 等級 -------- IND

    技術支持:

    我們的專家團隊在化學試劑、藥用輔料、催化劑及助劑、定制化學品以及其他各種研究領域都擁有豐富的經驗。

    聯系客服

    大包裝訂購與詢價:

    您的研發、生產或科研需要大批量訂購?

    大包裝訂購與詢價聯系客服

  • 如果沒有找到,請【聯系客服】
相關產品推薦

C08515105 堿性品紅,IND

C08515111 堿性品紅,BS

C10405100 5%堿性品紅溶液

C10708100 堿性品紅-亞硫酸溶液

C08515311 酸性品紅,BS

C01536100 堿性氧化鋁,100-200目

C08805405 堿性藍24, IND

  • 商品編號
  • 購買數量