44444免费观看高清电视剧直播_z〇zoz〇女人另类zoz〇_色卡网站免费大全_19岁在线观看免费高清完整版韩剧

歡迎光臨南京試劑! 登錄| 注冊|
證券簡稱:南京試劑    證券代碼:833179
南京試劑-化學試劑,實驗試劑,分析試劑,試劑網
首頁 > 產品 > 試劑 > 生化試劑 > C07405606
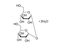
中文名稱二水合D+海藻糖 描述 二水合D+海藻糖, BS
英文名稱D(+)-Trehalose dihydrate 品牌南試
別名:D(+)-海藻糖;二水;D(+)-蕈糖;漏蘆糖;α;α-海藻糖;α-D-吡喃葡萄糖-α-D-葡萄糖苷
CAS編號: 6138-23-4
分子式:C12H22O11·2H2O
分子量:378.33
EINECS編號:202-739-6
MDL編號:MFCD00071594
商品編號 規格 銷售價格 折扣價格 可用庫存 單位 購買數量
C0740560651 BS, 5g ¥ 64.0 ¥ 64.0 點擊訂購

大包裝詢價
    • 產品介紹: 水中溶解度:68.9g/100g(20℃),溶于熱乙醇,不溶于醚
    • 用途: 海藻糖具有穩定生物膜(細胞膜)和蛋白質結構及抗干燥的作用,為其應用展示了廣闊的前景。海藻糖應用于生物制品保護。海藻糖還可用來保存研究用生物制品,如基因工程的酶類及其它酶類、細胞膜、抗體、抗原、細胞器等,食品加工,精細化工等
    • 熔點: 97-99℃
    • 密度: 1.76
    • 比旋光度: 181°(C=7,H2O)
    • 可溶性: 溶于水,不溶于乙醚
    • 貯存: 室溫保存,易吸潮。
  • MSDS下載
    暫無數據
    安全信息
    符號:
    信號詞: warning
    危險聲明: H303
    警示性聲明: P312
    危害碼: Xi
    風險聲明: R38
    安全聲明: S26;S37/39
    WGK德國: 2
  • 技術指標:

    • 等級 -------- BS

    技術支持:

    我們的專家團隊在化學試劑、藥用輔料、催化劑及助劑、定制化學品以及其他各種研究領域都擁有豐富的經驗。

    聯系客服

    大包裝訂購與詢價:

    您的研發、生產或科研需要大批量訂購?

    大包裝訂購與詢價聯系客服

  • 如果沒有找到,請【聯系客服】
相關產品推薦

C07405606 二水合D+海藻糖, BS

C07415206 D+纖維二糖,BS,98%

C07405994 D(+)-棉子糖,五水,98%(HPLC)

C07401306 D+木糖,BS

C07405302 D-甘露糖,AR

C03015102 二水合氯化亞錫,AR,98%

C00505602 二水合氯化鈣, AR, 98%

C00505640 二水合氯化鈣,ACS

C01307602 二水合鎢酸鈉,AR,99.5%

C01906002 二水合草酸鎂,AR,99%

  • 商品編號
  • 購買數量