44444免费观看高清电视剧直播_z〇zoz〇女人另类zoz〇_色卡网站免费大全_19岁在线观看免费高清完整版韩剧

歡迎光臨南京試劑! 登錄| 注冊|
證券簡稱:南京試劑    證券代碼:833179
南京試劑-化學試劑,實驗試劑,分析試劑,試劑網
首頁 > 產品 > 試劑 > 通用試劑 > C06922194
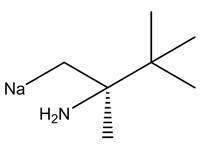
中文名稱(R)-(-)-叔亮氨醇 描述 (R)-(-)-叔亮氨醇
英文名稱(R)-(?)-tert-Leucinol 品牌南試
別名:D-叔亮氨醇 ; (R)-2-氨基-3;3-二甲基-1-丁醇
CAS編號: 112245-09-7
分子式:(CH3)3CCH(NH2)CH2OH
分子量:117.19
MDL編號:MFCD01076574
商品編號 規格 銷售價格 折扣價格 可用庫存 單位 購買數量
C0692219431 250mg ¥ 108.0 ¥ 108.0 預交貨期
3-7周

大包裝詢價
    • 熔點: 30-33℃
    • 沸點: 70℃/0.4mm Hg
    • 比旋光度: -37°, c = 1.5 in ethanol
    • 貯存: 密封保存;儲存溫度2-8℃
  • MSDS下載
    暫無數據
    安全信息
    符號: GHS07
    信號詞: Warning
    危險聲明: H315-H319-H335
    警示性聲明: P261-P305+P351+P338
    WGK德國: 3.0
  • 技術指標:

    技術支持:

    我們的專家團隊在化學試劑、藥用輔料、催化劑及助劑、定制化學品以及其他各種研究領域都擁有豐富的經驗。

    聯系客服

    大包裝訂購與詢價:

    您的研發、生產或科研需要大批量訂購?

    大包裝訂購與詢價聯系客服

  • 如果沒有找到,請【聯系客服】
相關產品推薦

C06922194 (R)-(-)-叔亮氨醇

C06910096 L-亮氨醇,96%(GC)

C06975197 N-(叔丁氧羰基)-D-苯丙氨醇,95%(HPLC)

C06975394 N-(叔丁氧羰基)-L-苯丙氨醇,98%(GC)

C06975294 N-(叔丁氧羰基)-DL-苯丙氨醇,98%(HPLC)

C06965594 N-(叔丁氧羰基)-D-脯氨醇,98%(GC)

C06821394 L-叔亮氨酸,98%(HPLC)

C06975793 (R)-1-(叔丁氧羰基)-3-吡咯烷醇,99%(HPLC)

C06823194 L-丙氨醇,98%(GC)

C06908994 Fmoc-甘氨醇,98%(HPLC)

  • 商品編號
  • 購買數量