44444免费观看高清电视剧直播_z〇zoz〇女人另类zoz〇_色卡网站免费大全_19岁在线观看免费高清完整版韩剧

歡迎光臨南京試劑! 登錄| 注冊|
證券簡稱:南京試劑    證券代碼:833179
南京試劑-化學試劑,實驗試劑,分析試劑,試劑網
首頁 > 產品 > 試劑 > 通用試劑 > C06807803
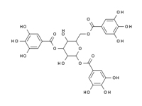
中文名稱單寧酸 描述 單寧酸,CP
英文名稱Tannic acid 品牌南試
別名:丹寧酸;沒食子鞣酸。
CAS編號: 1401-55-4
分子式:C76H52O46
分子量:1701.24
EINECS編號:215-753-2
MDL編號:MFCD00066397
商品編號 規格 銷售價格 折扣價格 可用庫存 單位 購買數量
C0680780335 CP, 100g ¥ 49.4 ¥ 49.4 點擊訂購

大包裝詢價
    • 產品介紹: 微有特殊氣味,具強烈的澀味,露置光和空氣中色變深。溶于水,易溶乙醇、丙酮和甘油,幾乎不溶于乙醚、苯、氯仿和石油醚。微有特殊氣味,具強烈的澀味。
    • 用途: 鈹、鋁、鎵、銦、鈮、鉭和鋯的沉淀和重量測定。銅、鐵、釩、鈰和鈷的比定測定。蛋白質及生物堿的沉淀劑。鉬酸銨滴定鉛時的外指示劑。染料媒染劑。
    • 熔點: 210-215℃
    • 密度: 2.12
    • 可溶性: 溶于水,易溶乙醇、丙酮和甘油,幾乎不溶于乙醚、苯、氯仿和石油醚
    • 貯存: 避光保存。
  • MSDS下載
    暫無數據
    安全信息
    符號:
    信號詞: Warning
    危險聲明: H412,H303
    警示性聲明: P273,P312,P501
    危害碼: Xi
    風險聲明: R36/37/38
    安全聲明: S24/25
    WGK德國: 2
  • 技術指標:

    • 等級 -------- CP

    技術支持:

    我們的專家團隊在化學試劑、藥用輔料、催化劑及助劑、定制化學品以及其他各種研究領域都擁有豐富的經驗。

    聯系客服

    大包裝訂購與詢價:

    您的研發、生產或科研需要大批量訂購?

    大包裝訂購與詢價聯系客服

  • 如果沒有找到,請【聯系客服】
相關產品推薦

C06807803 單寧酸,CP

  • 商品編號
  • 購買數量