44444免费观看高清电视剧直播_z〇zoz〇女人另类zoz〇_色卡网站免费大全_19岁在线观看免费高清完整版韩剧

歡迎光臨南京試劑! 登錄| 注冊|
證券簡稱:南京試劑    證券代碼:833179
南京試劑-化學試劑,實驗試劑,分析試劑,試劑網
首頁 > 產品 > 試劑 > 通用試劑 > C06055100
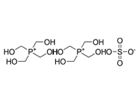
中文名稱四羥甲基硫酸磷 描述 四羥甲基硫酸磷,75%
英文名稱Bis[tetrakis(hydroxymethyl)phosphonium] sulfate solution 品牌南試
別名:四羥甲基硫酸磷;水溶液;四(羥甲基)鏻硫酸鹽;
CAS編號: 55566-30-8
分子式:C8H24O8P2·O4S
分子量:406.28
MDL編號:MFCD00054243
商品編號 規格 銷售價格 折扣價格 可用庫存 單位 購買數量
C0605510035 75%, 100g ¥ 49.4 ¥ 49.4 點擊訂購

大包裝詢價
    • 產品介紹: 無色透明或淺黃色粘稠狀液體
    • 用途: 是一種綠色環保型季磷酸鹽殺菌劑,也是國際上肯定的純棉、滌棉織物永久性的阻燃劑
    • 熔點: -35℃
    • 沸點: 111℃
    • 密度: 1.4
    • 貯存: 陰涼、干燥、密封儲存
  • MSDS下載
    暫無數據
    安全信息
    符號: GHS05,GHS06
    信號詞: Danger
    危險聲明: H302,H314,H331
    警示性聲明: P261,P280,P305+P351+P338,P310
    危害碼: C
    風險聲明: R22;R23;R43;
    安全聲明: S26;S36/37/39/;S45;
    WGK德國: 3.0
  • 技術指標:

    • 含量 -------- 75%

    技術支持:

    我們的專家團隊在化學試劑、藥用輔料、催化劑及助劑、定制化學品以及其他各種研究領域都擁有豐富的經驗。

    聯系客服

    大包裝訂購與詢價:

    您的研發、生產或科研需要大批量訂購?

    大包裝訂購與詢價聯系客服

  • 如果沒有找到,請【聯系客服】
相關產品推薦

C06055100 四羥甲基硫酸磷,75%

C04155494 四甲基硫酸氫銨,98%

C04215202 硫酸羥胺,AR,99%

C04215240 硫酸羥胺,ACS

C06045193 四苯基溴化磷,99%(HPLC)

C06035397 甲基吡啶磷

C08298895 三特丁基磷四氟硼酸鹽

C07645203 三(羥甲基)丙烷,CP

C04337394 4-羥甲基聯苯

C04256103 六甲基磷酰三胺, CP, 98.5%

  • 商品編號
  • 購買數量