44444免费观看高清电视剧直播_z〇zoz〇女人另类zoz〇_色卡网站免费大全_19岁在线观看免费高清完整版韩剧

歡迎光臨南京試劑! 登錄| 注冊|
證券簡稱:南京試劑    證券代碼:833179
南京試劑-化學試劑,實驗試劑,分析試劑,試劑網
首頁 > 產品 > 試劑 > 通用試劑 > C01345700
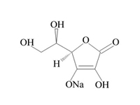
中文名稱異VC鈉 描述 異VC鈉,特規
英文名稱D-Isoascorbic acid Na salt 品牌南試
別名:異抗壞血酸鈉;異維生素C鈉;赤藻糖酸鈉;D-2;3;4;5;6-五羥基-2-己烯酸-4-內酯鈉
CAS編號: 6381-77-7
分子式:C6H7NaO6
分子量:198.12
商品編號 規格 銷售價格 折扣價格 可用庫存 單位 購買數量
C0134570075 特規, 25kg/桶 點擊詢價 200kg起訂

大包裝詢價
    • 產品介紹: 無臭,稍有咸味,易溶于水(約7mL水能溶1g)。干燥狀態在空氣中穩定,呈水溶液時遇空氣、微量金屬、熱和光易變質。
    • 用途: 化妝品抗氧劑。在化妝品中可消耗氧,還原高價金屬離子,把氧化還原電勢轉移到還原的范圍,并有減少產生不良的氧化產物。還可用作防腐助色劑。
    • 熔點: 154-164℃
    • 密度: 1.954
    • 比旋光度: 97°(C=10,H2O)
  • MSDS下載
    暫無數據
    安全信息
    符號:
  • 技術指標:

    • 等級 -------- 特規

    技術支持:

    我們的專家團隊在化學試劑、藥用輔料、催化劑及助劑、定制化學品以及其他各種研究領域都擁有豐富的經驗。

    聯系客服

    大包裝訂購與詢價:

    您的研發、生產或科研需要大批量訂購?

    大包裝訂購與詢價聯系客服

  • 如果沒有找到,請【聯系客服】
相關產品推薦

C01345700 異VC鈉,特規

C01345703 異VC鈉,異抗壞血酸鈉,CP

C06815440 VC(抗壞血酸),ACS,99%

C06815402 VC,抗壞血酸,AR

C01355600 二氯異氰尿酸鈉, 特規

C06809003 異辛酸,CP,98%

C06813002 異煙酸,AR

C06813003 異煙酸,CP,98%

C06813303 異丁酸,CP,98.5%

C06906803 異丁醇,CP,97%

  • 商品編號
  • 購買數量